Das ist das Wohnzimmer meiner Wohnung. Die Abmessungen sind: L=4,16m / B=3,86m / H=2,5m ...also fast quadratisch
Sorry für die Bildqualität, die Dias wurden vor über 10 Jahren gemacht und auf einem Flachbettscanner digitalisiert...

Die Lautsprecher sind T&A TAR1001 (3-Weg Bassreflex, sonst etwa wie nuBox380, aber etwas höher)
Wenn man den Vorhang zur Seite schiebt, kann man eine Leinwand 1,8x1,8m herunter ziehen.
Das ist der Hörplatz.

Rechts hätten noch einige Bilder kommen sollen....
Hinter dem Hörplatz ist ein Klappbrett mit indirekter Beleuchtung und mit Teppich bespannt. Es lässt sich hochklappen, um einen Diaprojektor in idealer Höhe draufzustellen.
Das ist die rechte Seite mit Geräte-Rack (mittlerweile sind darin Laden für über 600 CDs) und Bücherregal.

Zuerst war alles spiegelverkehrt angeordnet. Die Lautsprecher waren aus Platzgründen ganz oben unter der Decke. Der linke ober der Türe und der rechte in einem Regal in der rechten Ecke. Beide Lautsprecher waren an der Wand, an der jetzt der Hörplatz ist und der Hörplatz war vor den Fenstern. Die alten JBL-Lautsprecher mit zerbröselter Sicke klangen so ganz ordentlich...
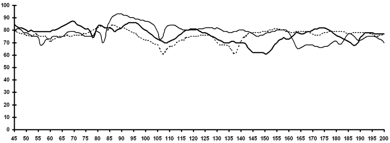
Ergebnis mit den T&As: fürchterliches Dröhnen mit gut +20dB und ca. 2s Nachklangdauer bei 85-95Hz (dünne Linie)
Der Bass deckte den Rest der Musik völlig zu.

Probeweise stelle ich die Lautsprecher auf Sesseln fast mitten in den Raum - das ergab einen sehr dünn klingenden Bass (strichlierte Linie)
Dann folgte ein radikaler Umbau (so wie auf den Bildern ersichtlich). Die Lautsprecher (Membranmitte) stehen jetzt von jeder Wand ca. 80-85cm entfernt. Obwohl der Frequenzgang lange nicht linear ist, klingt der Bass einigermaßen ausgeglichen und neutral (dicke Linie). Die verbleibende Pegelerhöhung bei 40Hz ist so eine Art akustisches ABL
Der Buckel bei 70Hz könnte mit höherer Aufstellung der Lautsprecher vermindert werden, dann gibt's aber Probleme mit den Öffnen der Fenster...
Als ich die Lautsprecher extrem nach innen anwinkelte (stärker als auf dem Bild), ergab sich eine sehr präzise, fast "holografische" Abbildung
Noch ein Wort zum Nachhall: Wenn man in der Mitte des Raumes steht und in die Hände klatscht, hört man ein deutliches Flatterecho. Beim Musikhören auf Lautsprecher- und Ohrhöhe ist dieser extreme Hall nicht so vernehmbar. Der Grund ist vermutlich das direkte Ausrichten der Lautsprecher auf den Hörplatz und die doch vorhandene Möblierung in der unteren Hälfte des Raumes.
Insgesamt kann man sagen, dass zwar Absorber den Klang sicherlich verbessern würden, aber der Klang ist schon ohne so gut, dass Musikhören sehr großen Spass macht!
Der Grund, warum ich nicht weiter in den Raum investierte, war zuerst das fehlende Geld (ich hatte ein Kind zu versorgen!) und dann die Verlagerung meiner Interessen in die Wohnung meiner Freundin - dort stehen die Nubis
Edit: Da nach dem Update der Forumssoftware keine extern verlinkte Bilder sichtbar sind, habe ich sie nachträglich am Ende angehängt.


